§3 线性方程组

一、含n个未知量n个方程的线性方程组的解法

[齐次和非齐次线性方程组] n个未知量n个方程的线性方程组取如下形式:

1

当常数项b1,b2,...,bn不全为零时,(1)称为非齐次线性方程组;当b1,b2,...,bn全为零时,(1)称为齐次线性方程组.

如果记

A=(aij)= (系数矩阵)

x=(x1,x2,...,xn)t

b=(b1,b2,...,bn)t (常数项矢量)

式中t 表示转置,那末线性方程组(1)可写成矩阵形式

Ax=b 2

[逆矩阵法] ïAï ≠0时,线性方程组(2)的解为

x=b

式中是系数矩阵A的逆矩阵,x称为(2)的解矢量.

[克莱姆法则] ïAï ≠0,则方程组(1)的解为

, , ... ,

式中

, , ... ,

这里D j(j=1,2,...,n)是以常数项矢量b替换A中第j列矢量后得到的n阶行列式.特别

二阶线性方程组

的解为

,

式中

, ,

三阶线性方程组

的解为

, ,

式中

,

,

[有回代过程的主元素消去法(高斯消去法)] 对于n阶线性方程组

可用矩阵表成

消元步骤:

1)在系数矩阵中找出绝对值最大的元素(这元素称为主元素),不妨设a11(第1行第1列元素)为主元素,(不然,如果为主元素,可先将第i个方程与第1个方程互换位置,再把未知数x1xj的次序调换,那末得到新的系数矩阵,其主元素必在第1行第1列上).将第1个方程乘以,分别与第i个方程相加(i=2,3,...,n,得到新的n阶线性方程组,用矩阵表示如下

2)在除第1行外的系数矩阵中找出主元素,不妨设b22为主元素.再将第二个方程乘以分别与第i个方程相加(i=3,4,...n),得到新的n阶线性方程组,用矩阵表示如下

(3)按照(1),(2)的方法进行n次以后,在第1n行外的系数矩阵

中找出主元素,不妨设为主元素,将第n个方程乘以与第n个方程相加,得到新的n阶线性方程组,用矩阵表示如下

这样做完n次之后,消元过程结束.原来系数矩阵已经化成上三角形矩阵(这时未知数的次序已做了若干次调换).

回代步骤:

由第n个方程解出

xn代入第n个方程,解出,再将 xn代入第n个方程解出...,最后将已解出的x2x3...xn代入第一个方程解出x1.

注意,这里每当找出主元素后,都经过行与行互换和未知数次序调换等手续,也可以把调换未知数次序的步骤放到第n-1步之后一起去做,同样可以得到三角形的系数矩阵.

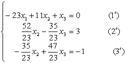
1 用主元素消去法解方程组

解 方程组用矩阵表示为:

解的步骤如下:

    (1)2 行第1列的元素-23是主元素,用□框起来,并用矩阵表示成

    把矩阵第2行乘以加到第1行上,把第2行乘以加到第3行上,得到矩阵

    在除第2行外的系数矩阵中找到第二个主元素在第1行第2列上为.

    (2)把第1行乘以加到第3行上,得到矩阵

(3)由第三个方程解出,将代入第二个方程,解出,将,代入第一个方程,解出.

于是方程组的解为(1,2,1).

[无回代过程的主元素消去法] 这种方法与上法基本一样,不同之处在于每次消元时,都用某一方程去消去其余所有n-1个方程的未知数,例如上面方法的消元步骤(2)中,改成将第二个方程乘以分别与第i个方程相加,i=1,3,4,...,n(共n-1个,与上面方法不同的是,这里包括i=1,并设a12=b12),得到新的系数矩阵是

而最后得到对角系数矩阵是:

因此不需经过回代过程,即可直接解出各个未知数来.

无回代过程的主元素消去法运算量比有回代过程的大,但在电子计算机上编制程序较为简单.

为了减少运算量,便于编制程序,第一步可在系数矩阵的第1列找出绝对值最大的元素为列主元素,消元后,第二步从系数矩阵的第2列找出列主元素进行消元,等等.这种消元法称为列主元素消去法,它也可达到较好的精确度.

[简单迭代法] 一般步骤:

1 将线性方程组

改写成

2)任意选取一组初始近似值作为方程的第0次近似解.

3)依次使k=1,2,3,...,用公式

求出方程的第k次近似解,直至满足

为止,式中e >0为预先给定的允许误差.于是第k次近似解在允许误差e 的范围内满足方程组.注意这里的允许误差不是指近似解与精确解之间的最大绝对误差.

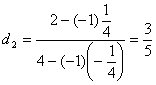
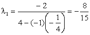
  1. 用简单迭代法求方程组
  2. 的解,其允许误差.

    解 根据例1可化为方程组

    分别由,可得迭代方程(满足收敛条件)

    选取初始值,逐次迭代得出一系列近似解:

    0

    1

    1

    1

    10

    0.9581

    1.9684

    1.0000

    1

    0.8900

    2.0000

    0.2553

    11

    0.9643

    2.0000

    0.9764

    2

    0.9079

    1.4987

    1.0000

    12

    0.9723

    1.9841

    1.0000

    3

    0.8739

    2.0000

    0.6267

    13

    0.9769

    2.0000

    0.9882

    4

    0.8992

    1.7487

    1.0000

    14

    0.9821

    1.9920

    1.0000

    5

    0.8947

    2.0000

    0.8129

    15

    0.9853

    2.0000

    0.9941

    6

    0.9171

    1.8741

    1.0000

    16

    0.9887

    1.9960

    1.0000

    7

    0.9223

    2.0000

    0.9062

    17

    0.9908

    2.0000

    0.9970

    8

    0.9392

    1.9369

    1.0000

    18

    0.9929

    1.9980

    1.0000

    9

    0.9463

    2.0000

    0.9530

    19

    0.9943

    2.0000

    0.9985

    迭代19次后得到,,在允许误差范围内满足方程组.

    [赛得尔迭代法] 把简单迭代法的步骤(3)中的迭代公式改成

    其他步骤同简单迭代法.

    在一般情况下,赛得尔迭代法比简单迭代法收敛得快些.

  3. 用赛得尔迭代法求例2中方程组的解.
  4. 解 选取初始值,并代入方程计算出

    再将代入方程计算出

    再将代入方程计算出

    再将,按赛得尔迭代法继续迭代可以发现,因此只需考虑方程,

    即解方程

    得出,因此方程组的解为

    [迭代法的收敛条件与误差估计]

    方法

    收敛条件

    k次近似解的最大误差

     

    其中

    [松弛迭代法] 把简单迭代法的迭代公式改成

    其他步骤同简单迭代法.上式中w 是常数,称为松弛因子.适当选取w 可以提高收敛速度,通常w 取为1.5~2(当取w Î (1,2)时,称为超松弛迭代法,当取w Î (0,1)时,称为低松弛迭代法).

    [共轭斜量法] 线性方程组

    Ax=b

    可按下面步骤解出:

    1)首先选取适当的近似解为初始值:

    2)计算初次残差矢量

    r(0)=b-Ax(0)

    和矢量 p(0)=At r(0)

    式中At A的转置矩阵.

    3)对i=0,1,2,...,N-1,依次按下列公式迭代

    x(i+1)=x(i)+aip(i)

    r(i+1)=r(i)-aiAp(i)

    p(i+1)=At r(i+1)+b i+1p(i)

    式中(a,b)表示矢量ab的内积(见第八章).

    这一过程只要进行到r(N)足够小即可停止.

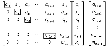
    [追赶法解实三对角线性方程组] 实三对角线性方程组

    =

    可按下面步骤解出:

    首先计算

    ,

    再对k=2,3,...,n-1,依次按下列公式迭代

    ,

    最后得到线性方程组的解为

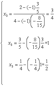
  5. 用追赶法解方程组

解 按上述公式依次计算得到

,

,

[平方根法解正定矩阵的线性方程组] A为正定矩阵,则线性方程组

Ax=b

可按下面步骤解出:

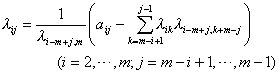
1)计算lij(分解A=LLt ,L=(lij)为实非奇异下三角形矩阵)

式中n为矩阵A的阶数.

2)计算yi(解方程组Ly=b

3)计算xi(解方程组Lt x=y

[正定带型矩阵的线性方程组解法] A=(aij)为一正定带型矩阵,满足

aij=0, ï i-jï >m (m为正整数)

则线性方程组

Ax=b

可按下面步骤解出:

(1) 计算l ij.为了节省存储单元,充分利用矩阵的对称和带型特点,只需存储对角线和对角线下的带中元素,这时可以改变aij的下标,令

aij=ai,m-i+j

例如当n=4,m=2的对称带型矩阵的存储格式为

然后按下列公式计算l ij

im时,

i>m时,

2)计算yi.

lij=l i,m-i+j

且按下列公式计算yi

3)计算xi.

这方法只有当m远小于n时才显示出优越性,否则选用其他方法.本公式利用了矩阵的对称性与带型特点,便于在电子计算机上存储,并进行计算.