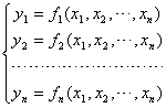
设有n个自变量的n个函数
  (1)
 
  	(1)
它们定义在某一n维区域D中,并关于自变量有连续偏导数,则由这些偏导数组成的行列式

称为函数组(1)的函数行列式或雅可比式。记作

函数行列式具有与普通导数相似的一系列性质.
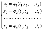
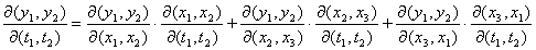
(1) 除函数组(1)外,再取在区域P中有定义且有连续偏导数的函数组

假设当点(t1,t2, )在P中变动时,对应点(x1,x2,
)在P中变动时,对应点(x1,x2, )并不越出区域D,于是就可以通过x1,x2,
)并不越出区域D,于是就可以通过x1,x2, 
   把y1,y2,
把y1,y2, 看成是t1,t2,
看成是t1,t2, 的复合函数.这时有
的复合函数.这时有
  
 
   =
= (2)
 
  (2)
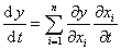
它是一元的复合函数的微分法则
y=f(x),x= ;
; =
=

的推广。
(2) 特别是,如果令t1=y1,t2=y2, =yn(换句话说,由新变量x1,x2,
=yn(换句话说,由新变量x1,x2, 又回到旧变量y1,y2,
又回到旧变量y1,y2, 
   ),则由(2)式得到
),则由(2)式得到
  
 
   =1
=1
它是一元函数的反函数微分法则
y=f(x), x=
 =
=
的推广。
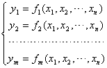
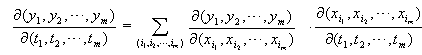
(3) 设有n个自变量x1,x2, 的m(m<n)个函数y1,y2,
的m(m<n)个函数y1,y2, 
   :
:

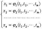
式中x1,x2, 又是m个自变量t1,t2,
又是m个自变量t1,t2, 的函数:
的函数:

假设它们都有连续偏导数,那末y1,y2, 作为t1,t2,
作为t1,t2, 的函数的函数行列式的表达式为
的函数的函数行列式的表达式为
 
 等式右边的和式是从n个标号 内每次取m个的一切可能组合而取遍的。
内每次取m个的一切可能组合而取遍的。
当m=1时,上面的公式就是普通的复合函数的微分公式

的推广.特别当n=3,m=2时,有

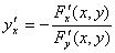
(4) 设有2n个自变量的n个方程所组成的方程组
Fi(x1,x2, ;y1,y2,
;y1,y2, )=0 
  (i=1,2,…,n)
)=0 
  (i=1,2,…,n)
假定
 ≠0
≠0
将y1,y2, 看成由这方程组所确定的x1,x2,
看成由这方程组所确定的x1,x2, 的函数,这时有
的函数,这时有


它是由F(x,y)=0所确定的隐函数y=f(x)的导数公式

的推广.
(5) 函数行列式可作为面积(体积)的伸缩系数.
假定函数
u=u(x,y),  =
 
  = (x,y)
 
  (x,y)
在xy平面的某个区域上连续,并且有连续的偏导数,又假定在这个区域上
  ≠0
≠0
那末有			 
  dud =
= dxdy
dxdy
对更高维的空间有类似的表达式.
例 直角坐标与球面坐标的变换
x=rsin cos
cos ,y=rsin
,y=rsin sin
sin ,z=rcos
,z=rcos
的函数行列式为
 =
= =
=
 这时		dxdydz= drd
drd d
d =
= drd
 
  drd d
d