§3 平面上的直线
| 方 程 与 图 形 | 说 明 | |||||||
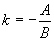
| [斜截式]   |   | 
 
 
 
 
 k为斜率.若直线与x轴的交角为a 
        ,则 b为纵截距 | ||||||
| 
 
 | ||||||||
| [截距式]   | 
 | a,b分别为x轴,y轴上的截距. 该直线通过A(a, 0)和B(0, b)两点.  与x轴的交角 
         
 | ||||||
| [点斜式]    | 
 k为斜率 该直线通过点M(x0, y0),与x轴的交角   | |||||||
| 方 程 | 与 图 形 | 说 明 | ||||||
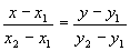
| [两点式] 
 或 
 | 
 | 该直线通过M1(x1, y1)与M2(x2, y2)两点, 与x轴的交角   | ||||||
| [一般式] 
 | 
 
 | 斜率	 纵截距	 [注]一般方程可根据需要化成上面四种形式 | ||||||
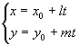
| [参数式] 
 或	 (-∞< t <∞) | 
 | 
  斜率 该直线通过点M(x0, y0)与x轴的交角为a | ||||||
| [极坐标式]   | 
 | O为极点,Ox为极轴,p为极点到该直线的距离.a 为极轴与从极点引到直线的垂线之间的夹角(逆时针方向为正),j 为该直线上任一点M的极角,r 为M点的矢径 | ||||||
| [法线式] 
   | 
 p为法线长(原点O到直线的垂线长),b 为法线与x轴的交角,p, b 称为直线的位置参数. [注]直线一般式可化为法线式	  式中 | |||||||
| [矢量式] 
   | 
 
 该直线通过矢径r0的终点,且与已知矢量a平行 | |||||||
| 方 程 | 与 图 形 | 说 明 | ||||||
| [复数式] (a) 
 
 (b)   
 | 
 
 | (a) 直线通过点z0,并与x轴的交角为a 
 
 
 
 (b) 直线通过z1,z2两点(t为实参数) | ||||||